Income tax challan code 2025 । আয়কর জমার চালানের নমুনা কপি [পূরনকৃত ফরম]
ব্যক্তিক আয়করের টাকা যে কোন চালান নম্বরে জমা দিলে হবে না -কর অঞ্চল অনুসারে আয়কর চালান কোড ভিন্ন তাই নির্ধারিত কোডেই জমা দিতে হবে – Income tax challan code 2025
কর দাতা কে? আয়কর বিশেষ অর্থে আয়ের উপর কর। সরকারি, বেসরকারি, নিবন্ধিত প্রতিষ্ঠান এর কর্মচারী এবং কর্মকর্তাদের উপর সাধারণত আয়কর আরোপ করা হয় বিধিসম্মত নিয়মে। আয়কর হচ্ছে সরকারি রাজস্ব বা আয়ের সবচেয়ে গুরুত্বপূর্ণ উৎস। সাধারণ অর্থে যাদের উপর কর আরোপ করা হয় তাদেরকে বলা হয় করদাতা।
সরকারি কর্মচারীগন বা অন্য কোন আয়কর প্রদানকারী বছরান্তে এককালীন আয়কর ব্যাংকে চালানের মাধ্যমে জমা প্রদান করতে পারবেন। এজন্য ই চালান বা ম্যানুয়াল চালান কপিতে নিম্নোক্ত কোড ব্যবহার করে আয়কর জমা প্রদান করবেন। আয়কর কর্তৃপক্ষ ও করদাতাদের সুবিধার্থে সরকারি কোষাগারে আয়কর জমার ক্ষেত্রে কর অঞ্চল ভিত্তিক এ্যাকাউন্ট কোড নম্বর দেয়া হল।
সরকারি খাতে টাকা জমা হলেই তো হয়? না। আপনাকে অবশ্যই নির্ধারিত কর অঞ্চলের কোডেই জমা দিতে হবে। আয়কর নির্দেশিকা ২০২৪-২৫ কর বর্ষে প্রকাশিত কর অঞ্চল ভিত্তিক কোডেই জমা দিতে হবে। অনলাইনে এ চালান পেমেন্ট করার জন্য Automated Challan System Bangladesh (A Challan) সিস্টেমে ভিজিট করুন এখান থেকে।
এ চালান কি? এ চালান বা অটোমেটেড চালান হল বাংলাদেশ সরকারের একটি অনলাইন পদ্ধতি, যার মাধ্যমে সরকারি সকল রাজস্ব ও সেবা ফি বাবদ অর্থ সরকারি কোষাগারে জমা দেওয়া হয়। এই পদ্ধতিটি অর্থ মন্ত্রণালয় কর্তৃক ২০১৯-২০ অর্থবছর হতে চালু করা হয়। রাজস্ব সংগ্রহের প্রক্রিয়াকে আরো স্বচ্ছ ও জবাবদিহিযোগ্য করা। জনগণকে সরকারি ফি বাবদ অর্থ জমা দেওয়ার জন্য দীর্ঘ লাইনে দাঁড়িয়ে থাকা থেকে মুক্তি দান। রাজস্ব সংগ্রহের প্রক্রিয়াকে আরো দ্রুত ও সহজ করে তোলা।
আয়কর জমার কোড ঢাকা । আয়কর জমার চালানের কোড । ট্রেজারী চালানের কোড
সরকারি চাকরির আবেদন ফি থেকে শুরু করে ভ্যাট, আয়কর ইত্যাদি কাজে সরকারি কোষাগারে অর্থ জমা দেয়ার জন্য আমরা ট্রেজারি চালান ফরম ব্যবহার করে সোনালি ব্যাংকে লাইন ধরতে হয়। এ বিড়ম্ভনা থেকে মুক্তি পেতে চলে এসেছে ই-চালান পদ্ধতি। আজ আমরা জানবো কিভাবে ঘরে বসেই চালানের মাধ্যমে অর্থ জমা দিয়ে চালান কপি সংগ্রহ করতে হয়।

Caption: Personal Income tax code
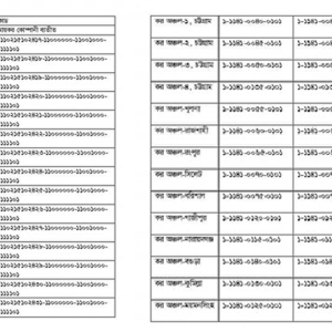
ব্যক্তির কর অঞ্চল মোতাবেক আয়কর জমার কোড 2025 । কোম্পানী ব্যতীত ।আয়করের টাকা কোন কোডে জমা দিতে হয়?
- কর অঞ্চল-১, ঢাকা ১-১১৪১-০০০১-০১১১
- কর অঞ্চল-২, ঢাকা ১-১১৪১-০০০৫-০১১১
- কর অঞ্চল-৩, ঢাকা ১-১১৪১-০০১০-০১১১
- কর অঞ্চল-৪, ঢাকা ১-১১৪১-০০১৫-০১১১
- কর অঞ্চল-৫, ঢাকা ১-১১৪১-০০২০-০১১১
- কর অঞ্চল-৬, ঢাকা ১-১১৪১-০০২৫-০১১১
- কর অঞ্চল-৭, ঢাকা ১-১১৪১-০০৩০-০১১১
- কর অঞ্চল-৮, ঢাকা ১-১১৪১-০০৩৫-০১১১
- কর অঞ্চল-৯, ঢাকা ১-১১৪১-০০৮০-০১১১
- কর অঞ্চল-১০, ঢাকা ১-১১৪১-০০৮৫-০১১১
ই চালান কিভাবে জমা দেয়?
ই-চালান পোর্টাল www.achallan.gov.bd এ প্রবেশ করুন। যে খাতে চালান জমা করা হবে তা নির্বাচন করে ক্লিক করুন। তথ্য প্রদানের স্ত্রীনটি প্রদর্শিত হলে চালানের প্রয়োজনীয় তথ্যাবলী পূরণ করে “দাখিল” বাটনটি চাপুন। চালানের ড্রাফট কপি স্ক্রীনে প্রদর্শিত হলে তথ্যের সঠিকতা যাচাই করুন। তথ্য সঠিক হলে “পরিশোধ বাটনটি চাপুন। কাঙ্খিত পেমেন্ট অপশনটি (সোনালী ব্যাংকের ডেবিট/ক্রেডিট/প্রিপেইড কার্ড/একাউন্ট ট্রান্সফার/যেকোন ব্যাংকের VISA / MASTER/Amex কার্ড/বিকাশ/রকেট/ইউক্যাশ) নির্বাচন করে পেমেন্ট প্রক্রিয়া সম্পন্ন করুন। পেমেন্ট সফল হলে চালানের কপিটি প্রিন্ট/সেভ করুন।

| ঘরে বসে অনলাইনে চালান জমা দেয়ার পদ্ধতি। | income tax challan code bd । কর অঞ্চল ভিত্তিক আয়কর চালান জমা কোড দেখে নিন | Challan Deposit by online । ঘরে বসেই অনলাইনে চালানে টাকা জমা দেয়া যায় |

![Income tax challan code 2023 । আয়কর জমার চালানের নমুনা কপি [পূরনকৃত ফরম]](https://bdservicerules.info/wp-content/uploads/2023/10/bdservicerules-copy-1024x618.jpg)

