এমপিও শিক্ষকদের বেতন জুলাই ২০২৫ । মাসিক নীট বেতন ভাতাদি কিরূপ হবে?
এমপিও শিক্ষক হলেন বেসরকারি শিক্ষা প্রতিষ্ঠানের (যেমন স্কুল, কলেজ, মাদ্রাসা, কারিগরি শিক্ষা প্রতিষ্ঠান) শিক্ষক যারা সরকারের কাছ থেকে মাসিক বেতন-ভাতা পান। “এমপিও” (MPO) এর পূর্ণরূপ হলো “মাসিক বেতন আদেশ” (Monthly Pay Order)। সংক্ষেপে, এমপিও শিক্ষক হলেন বেসরকারি শিক্ষা প্রতিষ্ঠানের শিক্ষক, যাদের বেতন-ভাতা সরকার প্রদান করে, এমপিও হলো সরকারের বেতন বাবদ সহায়তা – এমপিও শিক্ষকদের বেতন জুলাই ২০২৫
সরকারি কর্মচারীদের বিশেষ সুবিধা কি হারে হয়? সরকারি কর্মচারীদের বিশেষ সুবিধা মূল বেতনের ১০% বা ১৫% হারে দেওয়া হয়, যা তাদের গ্রেড ও পেনশনের পরিমাণের উপর নির্ভর করে। গ্রেড-১ থেকে ৯ পর্যন্ত কর্মচারীরা মূল বেতনের ১০% হারে এবং গ্রেড-১০ থেকে ২০ পর্যন্ত কর্মচারীরা মূল বেতনের ১৫% হারে বিশেষ সুবিধা পান। এছাড়া, যাদের মাসিক পেনশন ১৭,৩৮৯ টাকা বা তার বেশি, তারা ১০% হারে এবং যাদের পেনশন ১৭,৩৮৮ টাকা বা তার কম, তারা ১৫% হারে বিশেষ সুবিধা পান। তবে, এই সুবিধা ১,৫০০ টাকার কম হবে না।
এমপিও শিক্ষকদের জন্য কিছু বিশেষ সুবিধা রয়েছে, যেমন: বেতনের ৫০% উৎসব ভাতা। বেতন ছাড়াও বাড়ি ভাড়া ও চিকিৎসা ভাতা। তবে, তারা কোনো পেনশন পান না। কিছু ক্ষেত্রে, এমপিওভুক্ত শিক্ষকরা তাদের মূল বেতনের ২৫% থেকে বাড়িয়ে ৫০% উৎসব বোনাস পাওয়ার দাবি করেছেন তা এখন মেনে নেয়া হয়েছে এবং এ বিষয়ে প্রজ্ঞাপনও জারি হয়েছে। বেসরকারি শিক্ষকদের বেতন-ভাতা এখন ইএফটি (EFT) এর মাধ্যমে প্রদান করা হয় যা জুন/২৫ হতে বাস্তবায়িত হয়েছে।শিক্ষকদের বেতন-ভাতা বিতরণে স্বচ্ছতা আনতে এবং হয়রানি কমাতে এই পদ্ধতি চালু করা হয়েছে।
এমপিও শিক্ষকদের বেতন কি সরকার দেয়? হ্যাঁ, এমপিও (Monthly Payment Order) শিক্ষকদের বেতন সরকার দিয়ে থাকে। মূলত, বেসরকারি শিক্ষা প্রতিষ্ঠানের শিক্ষক-কর্মচারীদের একটি নির্দিষ্ট অংশ সরকার মাসিক বেতন হিসেবে দিয়ে থাকে, যা এমপিও নামে পরিচিত। এমপিও হলো বেসরকারি শিক্ষা প্রতিষ্ঠানের শিক্ষক-কর্মচারীদের বেতনের সরকারি অংশ। সরকার শিক্ষা প্রতিষ্ঠানের জনবল ও অন্যান্য বিষয় বিবেচনা করে এই সহায়তা প্রদান করে। এমপিওভুক্ত শিক্ষকদের মূল বেতনের একটি অংশ সরকার দিয়ে থাকে। বেসরকারি শিক্ষা প্রতিষ্ঠানের শিক্ষকরা সরকারি কোষাগার থেকে তাদের বেতনের একটি অংশ পেয়ে থাকেন। শিক্ষকদের বেতন-ভাতা সরকারি নিয়ম অনুযায়ী প্রদান করা হয়। বর্তমানে এমপিওভুক্ত শিক্ষকরা ইএফটির মাধ্যমে বেতন পাচ্ছেন, যা আগে ম্যানুয়ালি দেয়া হত।
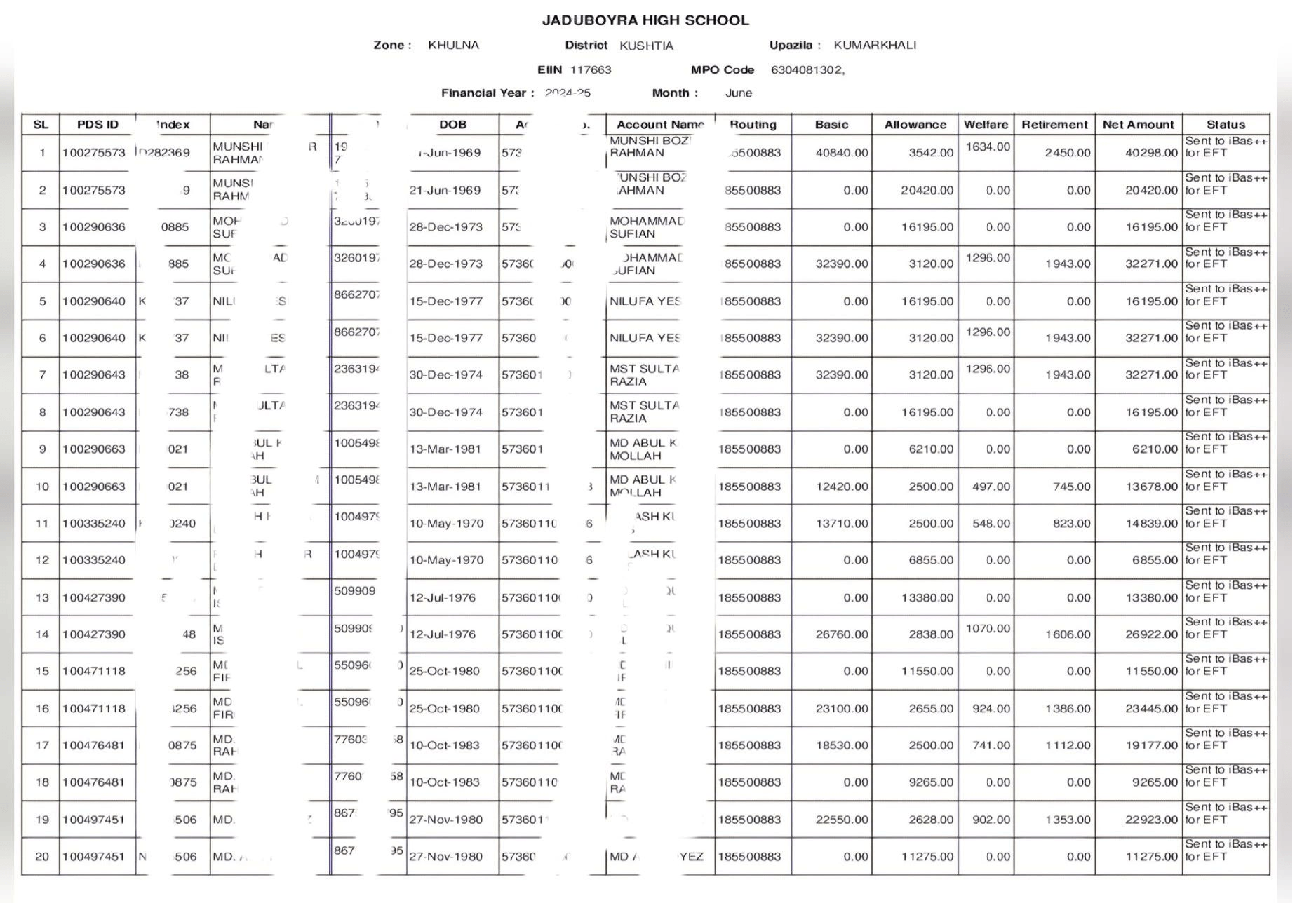
এমপিও শিক্ষক বেতন শীট ২০২৫ / মূল বেতন ছাড়াও ভাতাদি একই সাথে পেয়ে থাকে
মূল বেতন +ভাতাদি যোগ করে মোট বেতন যা হয় সেখান থেকে কল্যান ভাতা ও অবসরভাতা কর্তন করে নীট বেতন প্রদান করা হয়। এলাউন্স এর মধ্যে রয়েছে চিকিৎসা ভাতা+বাড়ি ভাড়া+শিক্ষা ভাতা সহ ভাতাদি হিসাব করে দেওয়া হয়। মোট বেতন হতে ৪% কল্যাণ ভাতা ও ৬% অবসর ভাতা সহ মোট ১০% কর্তন করা হয়।

Caption: MPO EFT Salary Sheet Bangladesh
এমপিও সহকারী শিক্ষক বেতন ও ভাতাদি ২০২৫ । ১১ গ্রেডে মূল বেতন+ভাতাদি-কল্যাণ ও অবসর
- মূল বেতন ১৩,৭১০ টাকা।
- বাড়ি ভাড়া ১০০০ টাকা।
- চিকিৎসা ভাতা ৫০০ টাকা।
- শিক্ষা ভাতা ১০০০ টাকা (দুই সন্তানের জন্য)।
- বিশেষ সুবিধা ১৫% হারে ২০৫৬ টাকা।
- কল্যাণ চাঁদা (কর্তন) ৫৪৮ টাকা। ৪% হারে।
- অবসর সুবিধা (কর্তন) ৮২৩ টাকা। ৬% হারে।
- মোট ব্যাংক হিসাবে নীট বেতন প্রাপ্তি ১৬,৮৯৫ টাকা। (জুলাই/২৫)
এমপিওভূক্ত শিক্ষকগণ কি ১০ম গ্রেডের?
এমপিওভুক্ত শিক্ষকদের বেতন গ্রেড ও অভিজ্ঞতাভেদে ভিন্ন হয়ে থাকে। সাধারণত, একজন সহকারী শিক্ষক (মাধ্যমিক) ১২,৫০০ টাকা থেকে শুরু করে ১৬,০০০ টাকা পর্যন্ত মূল বেতন পান। এছাড়া, তারা বাড়ি ভাড়া, চিকিৎসা ভাতা এবং প্রতি বছর দুটি উৎসব ভাতা (মূল বেতনের ২৫%) পেয়ে থাকেন। এমপিওভুক্ত শিক্ষকদের বেতন কাঠামো বেসিক বেতন এমপিওভুক্ত শিক্ষকদের মূল বেতন গ্রেড অনুযায়ী নির্ধারিত হয়। অন্যান্য ভাতা বাড়ি ভাড়া বাবদ ১০০০ টাকা এবং চিকিৎসা ভাতা বাবদ ৫০০ টাকা পেয়ে থাকেন। উৎসব ভাতা বছরে দুটি উৎসব (ঈদ) বোনাস পান, যা মূল বেতনের ২৫% ছিল এখন তা ৫০% করা হয়েছে। কিছু ক্ষেত্রে, মূল বেতনের ২০% বৈশাখী ভাতা পাওয়ারও সুযোগ থাকে। গ্রেড: সরকারি মাধ্যমিক বিদ্যালয়ের সহকারী শিক্ষকরা সাধারণত দশম গ্রেডে বেতন পেয়ে থাকেন। উদাহরণস্বরূপ, একজন নতুন সহকারী শিক্ষক (মাধ্যমিক) ১২,৫০০ টাকা মূল বেতন পেলে, বাড়ি ভাড়া, চিকিৎসা ভাতা ও অন্যান্য ভাতাদি যোগ করে মোট বেতন ১৪,০০০-১৫,০০০ টাকার মতো হতে পারে।




মহার্ঘ ভাতা কত পার্সেন্ট কার্যকর হতে যাচ্ছে? বলতে পারেন কি?
মহার্ঘ ভাতা হবে না। বিশেষ সুবিধা দিচ্ছে ১০-১৫% গ্রেড অনুসারে।
শিরোনামে এক লেখা ভিতরে অন্য লেখা, এটা একপ্রকার প্রতারণা ছাড়া কিছুই না।
একজন শিক্ষকের শুরুতে প্রাইমারী স্কুলের বেতন কতো
15-18k
লেখাটি ভাল করে পড়ুন।
বেসরকারি শিক্ষকদের বেতন সুবিধা আছে ভাল। এদের অবসর সুবিধা কর্তনের হিসাব আছে কিন্তু বেসরকারি শিক্ষকদের অবসর সুবিধার পেতে ৫ বছর পেরিয়ে যায়, এ বিষয়ে কিছু লিখা যায় কি না
যায়। ইনশা আল্লাহ অবশ্যই লিখবো।
ইবতেদায়ি শিক্ষক বর্তমানে কত টাকা বেতন পায়?
এমপিও হলে থাকলে এমন বেতনই পাচ্ছে।