পরিবার সঞ্চয়পত্র: কোন অংকে কত মুনাফা? জেনে নিন সর্বশেষ হিসাব
বাংলাদেশে নিরাপদ বিনিয়োগের অন্যতম মাধ্যম হিসেবে সঞ্চয়পত্র সবসময়ই জনপ্রিয়। বিশেষ করে নারীদের জন্য ‘পরিবার সঞ্চয়পত্র’ একটি নির্ভরতার জায়গা। তবে অনেকেই প্রতি মাসে ঠিক কত টাকা মুনাফা পাবেন, তা নিয়ে প্রায়ই দ্বিধায় ভোগেন। বিশেষ করে স্ল্যাবভিত্তিক মুনাফার হার ও ১০ শতাংশ আয়কর কর্তনের পর হাতে কত টাকা আসবে—এই হিসাব মেলানো অনেকের জন্যই কঠিন হয়ে পড়ে।
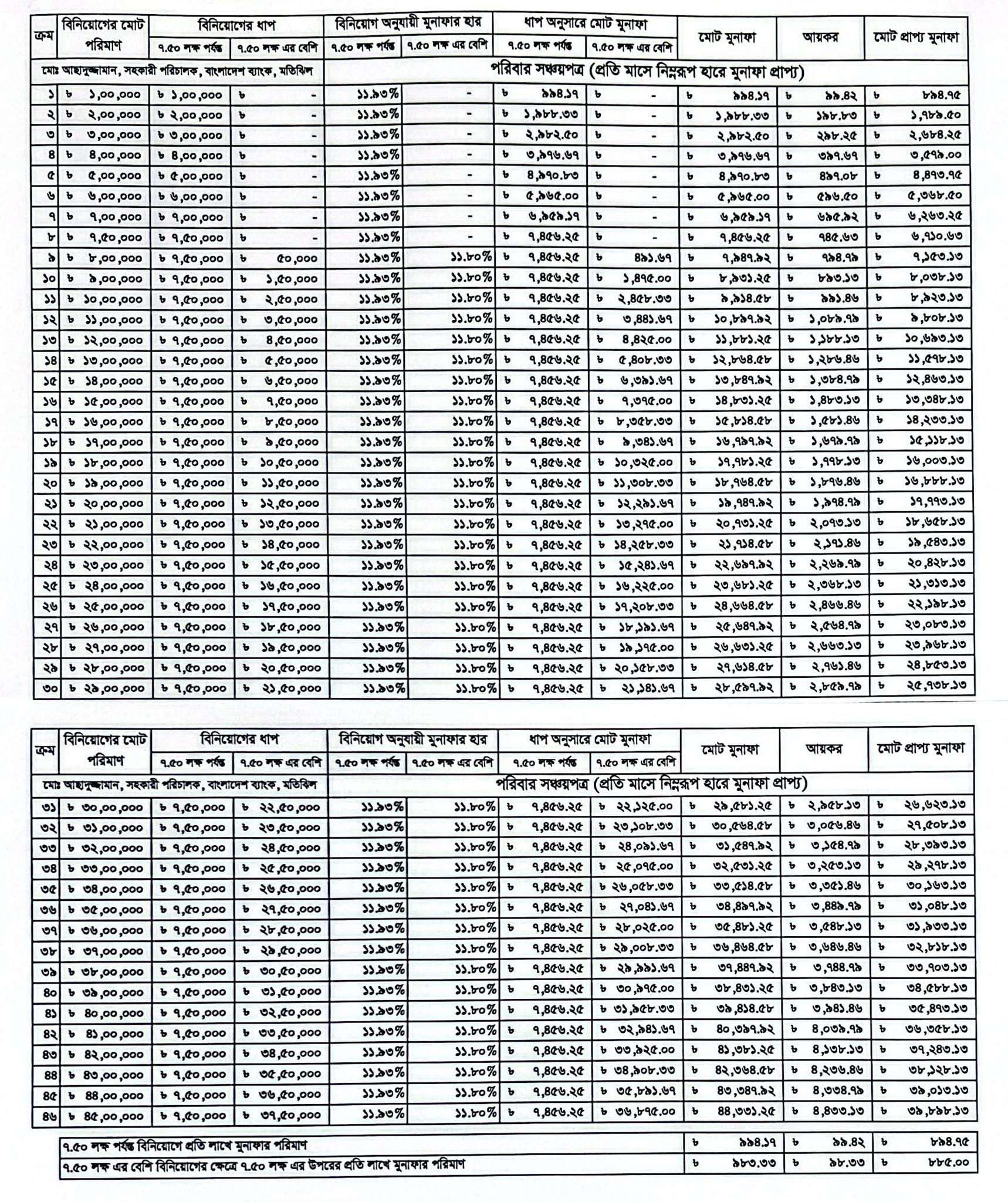
সম্প্রতি ০১/০৭/২০২৫ তারিখ বা এর পরে যারা সঞ্চয়পত্র কিনেছেন, তাদের জন্য প্রযোজ্য নিট মুনাফার একটি বিস্তারিত তালিকা প্রকাশ করা হয়েছে।
স্ল্যাবভিত্তিক মুনাফার হার
বর্তমানে পরিবার সঞ্চয়পত্রে বিনিয়োগের পরিমাণের ওপর ভিত্তি করে মুনাফার হার দুটি ভাগে বিভক্ত:
১. প্রথম ৭.৫০ লাখ টাকা পর্যন্ত: প্রতি লাখে নিট মুনাফা পাওয়া যাবে ৮৯৪.৭৫ টাকা।
২. ৭.৫০ লাখ টাকার বেশি বিনিয়োগের ক্ষেত্রে: প্রথম ৭.৫০ লাখের পরবর্তী অতিরিক্ত বিনিয়োগের ওপর প্রতি লাখে নিট মুনাফা পাওয়া যাবে ৮৮৫ টাকা।
(উল্লেখ্য, এই হিসাব ১০% আয়কর কাটার পর নিট প্রাপ্তি।)
বিনিয়োগ অনুযায়ী মাসিক মুনাফার চার্ট
নিচে প্রধান কয়েকটি বিনিয়োগের অংক ও তার বিপরীতে মাসিক প্রাপ্ত মুনাফার হিসাব দেওয়া হলো:
| বিনিয়োগের পরিমাণ | মোট মাসিক নিট মুনাফা (টাকা) |
| ১,০০,০০০ (১ লাখ) | ৮৯৪.৭৫ |
| ২,০০,০০০ (২ লাখ) | ১,৭৮৯.৫০ |
| ৫,০০,০০০ (৫ লাখ) | ৪,৪৭৩.৭৫ |
| ৭,৫০,০০০ (সাড়ে ৭ লাখ) | ৬,৭১০.৬৩ |
| ১০,০০,০০০ (১০ লাখ) | ৮,৯২৩.১৩ |
| ১৫,০০,০০০ (১৫ লাখ) | ১৩,৩৪৮.১৩ |
| ২০,০০,০০০ (২০ লাখ) | ১৭,৭৭৩.১৩ |
| ২৫,০০,০০০ (২৫ লাখ) | ২২,১৯৮.১৩ |
| ৩০,০০,০০০ (৩০ লাখ) | ২৬,৬২৩.১৩ |
| ৪৫,০০,০০০ (৪৫ লাখ) | ৩৯,৯৮৮.১৩ |
গুরুত্বপূর্ণ কিছু তথ্য
শুধুমাত্র পরিবার সঞ্চয়পত্র: এই হিসাবটি শুধুমাত্র তাদের জন্য যাদের বিনিয়োগ কেবল ‘পরিবার সঞ্চয়পত্রে’। যদি আপনার অন্য কোনো সঞ্চয়পত্র (যেমন: তিন মাস অন্তর মুনাফাভিত্তিক বা পেনশনার) থাকে, তবে সামগ্রিক বিনিয়োগের ওপর ভিত্তি করে আপনার মুনাফার স্ল্যাব ও হার পরিবর্তিত হতে পারে।
আয়কর: বর্তমান নিয়ম অনুযায়ী, মুনাফার ওপর ১০% হারে অগ্রিম আয়কর কর্তন করা হয়। উপরে উল্লিখিত টাকার অংকগুলো এই আয়কর কাটার পরেই আপনার ব্যাংক অ্যাকাউন্টে জমা হবে।
সংশোধনী: যারা ১ জুলাই ২০২৫ এর আগে সঞ্চয়পত্র কিনেছেন, তাদের ক্ষেত্রে পুরনো হার বা তৎকালীন নিয়ম প্রযোজ্য হতে পারে।
বিনিয়োগকারীদের সুবিধার্থে বাংলাদেশ ব্যাংকের মতিঝিল অফিসের তথ্য অনুযায়ী এই তালিকাটি প্রস্তুত করা হয়েছে। এখন থেকে বিনিয়োগকারীরা সহজেই তাদের মাসিক আয় সম্পর্কে নিশ্চিত হতে পারবেন এবং মুনাফার হিসাব নিয়ে যে কোনো বিভ্রান্তি দূর হবে।

১০ লাখ টাকার পরিবার সঞ্চয়পত্র কিনলে মাসে কত টাকা পাওয়া যাবে?
১০ লাখ টাকার পরিবার সঞ্চয়পত্র কিনলে আপনি প্রতি মাসে মোট ৮,৯২৩.১৩ টাকা (নিট মুনাফা) পাবেন। সর্বশেষ তথ্যানুযায়ী (১ জুলাই ২০২৫-এর নিয়ম অনুসারে), এই হিসাবটি নিচে ভেঙে দেখানো হলো:
১০ লাখ টাকার মুনাফার হিসাব:
১. প্রথম ৭.৫০ লাখ টাকার জন্য:
প্রতি লাখে মুনাফা: ৮৯৪.৭৫ টাকা
মোট: 7.5 *894.75 = 6,710.625 টাকা
২. বাকি ২.৫০ লাখ টাকার জন্য (৭.৫০ লাখের উপরের অংশ):
প্রতি লাখে মুনাফা: ৮৮৫ টাকা
মোট: 2.5 * 885 = 2,212.50 টাকা
সর্বমোট মাসিক নিট মুনাফা: ৬,৭১০.৬৩ + ২,২১২.৫০ = ৮,৯২৩.১৩ টাকা।
বিশেষ দ্রষ্টব্য:
এই অংকটি ১০% আয়কর কাটার পর আপনার হাতে থাকা নিট মুনাফা।
যদি আপনার পরিবার সঞ্চয়পত্র ছাড়াও অন্য কোনো সঞ্চয়পত্রে বিনিয়োগ থাকে, তবে সামগ্রিক বিনিয়োগের পরিমাণ অনুযায়ী স্ল্যাব পরিবর্তিত হতে পারে।



